Упр.435 ГДЗ Алимов 10-11 класс (Алгебра)
Решение #1
Решение #2

Рассмотрим вариант решения задания из учебника Алимов, Колягин, Ткачёва 10 класс, Просвещение:
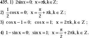
435. Решить неравенство:
1) 2sinx=0;
2) 1/2cosx=0;
3) cosx-1=0;
4) 1-sinx =0.
*размещая тексты в комментариях ниже, вы автоматически соглашаетесь с пользовательским соглашением