Упр.566 ГДЗ Алимов 10-11 класс (Алгебра)
Решение #1
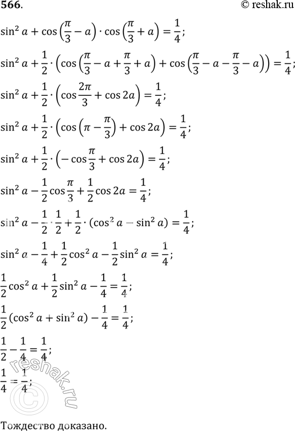
Решение #2

Рассмотрим вариант решения задания из учебника Алимов, Колягин, Ткачёва 10 класс, Просвещение:
Доказать тождество (566—567).
566 sin2a+cos(пи/3-a)cos(пи/3 + a)=1/4.
*размещая тексты в комментариях ниже, вы автоматически соглашаетесь с пользовательским соглашением