Упр.68 ГДЗ Алимов 10-11 класс (Алгебра)
Решение #1
Решение #2

Рассмотрим вариант решения задания из учебника Алимов, Колягин, Ткачёва 10 класс, Просвещение:
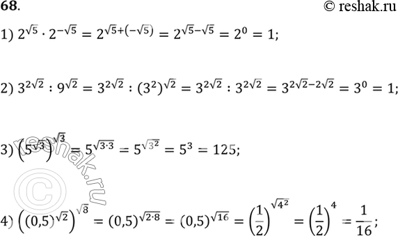
68. Вычислить:
1) 2^корень 5 * 2^-корень 5;
2) 3^2корень 2 : 9^корень 2;
3) (5^корень 3)корень 3;
4) ((0,5)корень 2) корень 8.
*размещая тексты в комментариях ниже, вы автоматически соглашаетесь с пользовательским соглашением