Упр.697 ГДЗ Алимов 10-11 класс (Алгебра)
Решение #1
Решение #2

Рассмотрим вариант решения задания из учебника Алимов, Колягин, Ткачёва 11 класс, Просвещение:
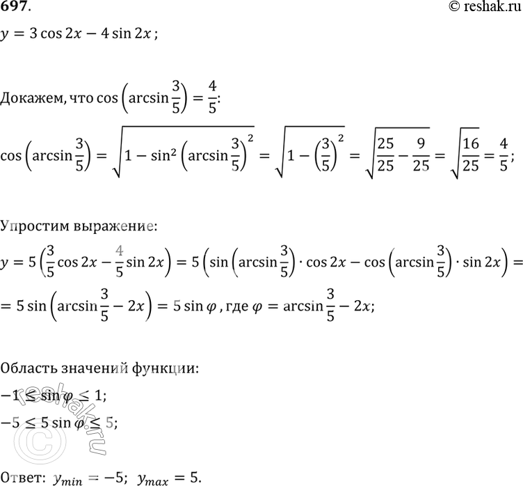
697 Найти наибольшее и наименьшее значения функции
у - 3 cos 2х - 4 sin 2х.
*размещая тексты в комментариях ниже, вы автоматически соглашаетесь с пользовательским соглашением