Упр.713 ГДЗ Алимов 10-11 класс (Алгебра)
Решение #1
Решение #2

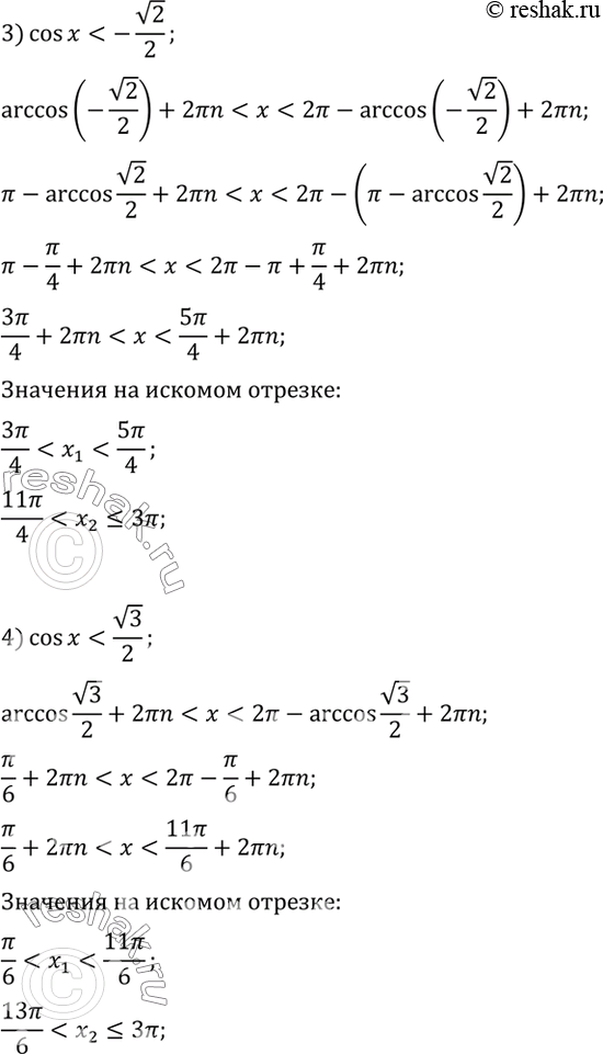
Рассмотрим вариант решения задания из учебника Алимов, Колягин, Ткачёва 11 класс, Просвещение:
713 Найти все решения неравенства, принадлежащие отрезку [0;3пи]:
1) cosx>=1/2;
2) cosx>=-1/2;
3) cosx<-корень 2/2;
4) cosx< корень 3/2.
*размещая тексты в комментариях ниже, вы автоматически соглашаетесь с пользовательским соглашением