Упр.766 ГДЗ Алимов 10-11 класс (Алгебра)
Решение #1
Решение #2

Рассмотрим вариант решения задания из учебника Алимов, Колягин, Ткачёва 11 класс, Просвещение:
766 Найти наибольшее и наименьшее значения функции:
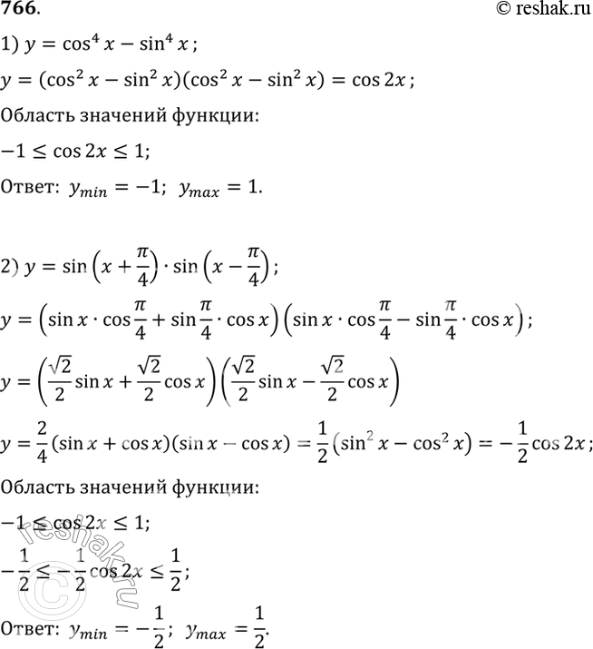
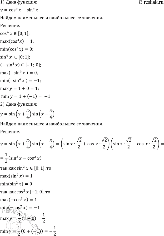
1) у = cos4 х - sin4 х;
2) у = sin (x+пи/4)sin(x-пи/4);
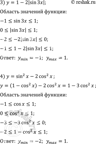
3) y = 1-2 | sin 3х|;
4) у = sin2x - 2 cos2 х.
*размещая тексты в комментариях ниже, вы автоматически соглашаетесь с пользовательским соглашением