Упр.860 ГДЗ Алимов 10-11 класс (Алгебра)
Решение #1
Решение #2

Рассмотрим вариант решения задания из учебника Алимов, Колягин, Ткачёва 11 класс, Просвещение:
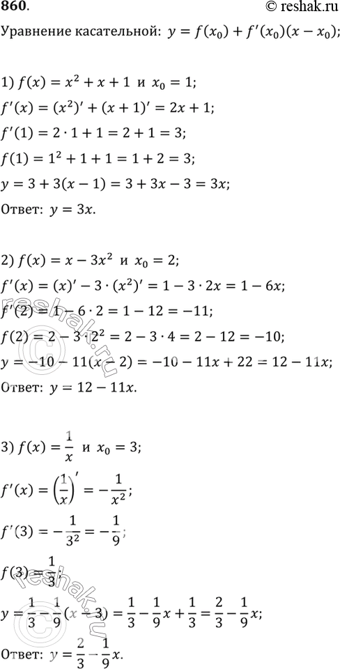
860 Написать уравнение касательной к графику функции у = f (х) в точке с абсциссой х0:
1) f(x)=x2+x+1,x0=1;
2) f(x)=x-3x,x0=2;
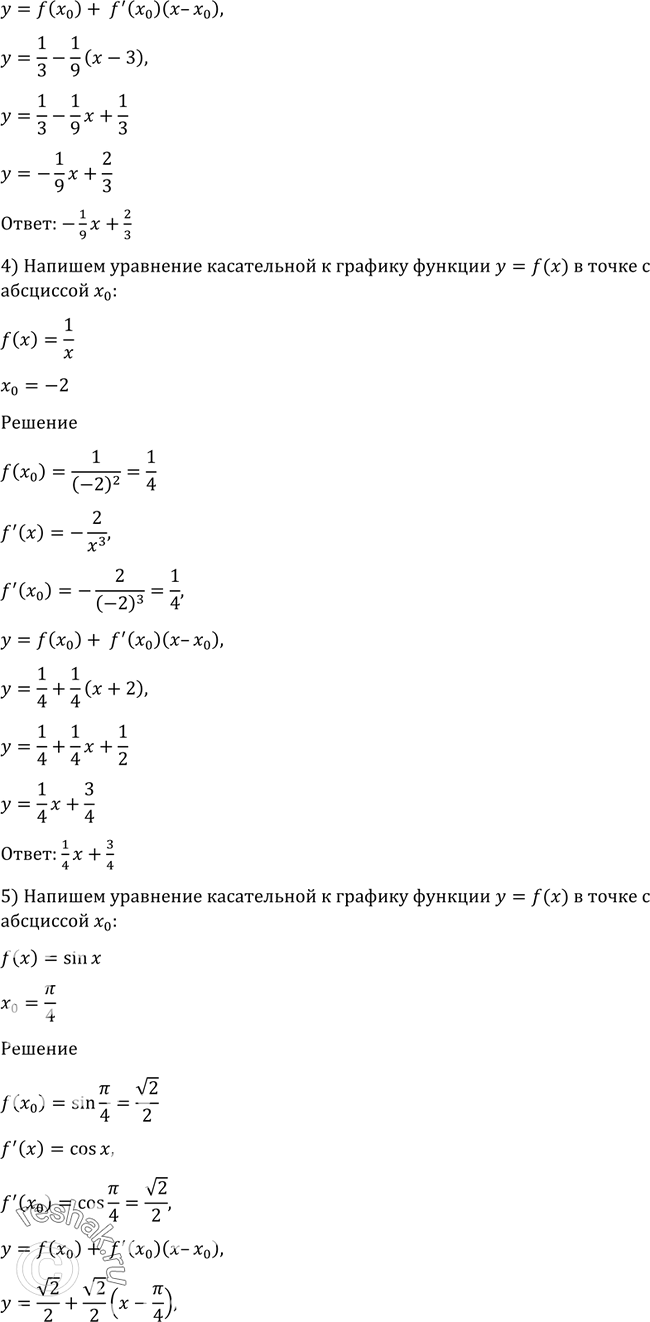
3) f(x)=1/x,x0=3;
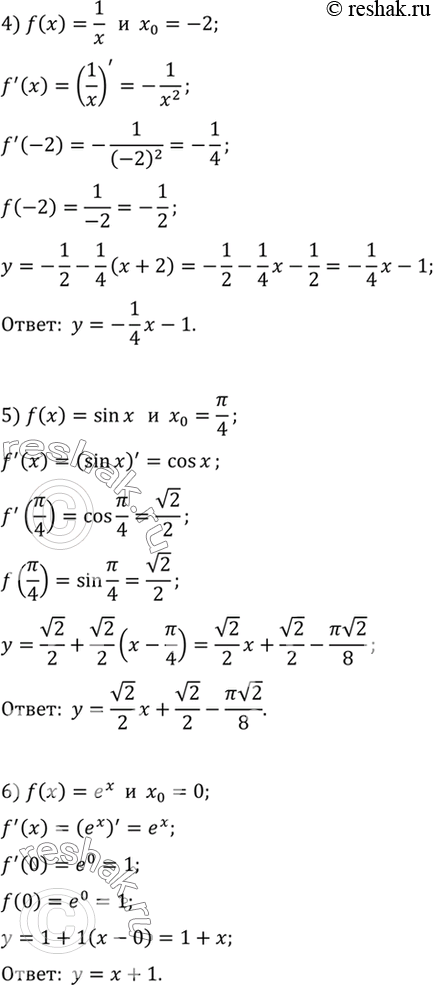
4) f(x)=1/x,x0=-2;
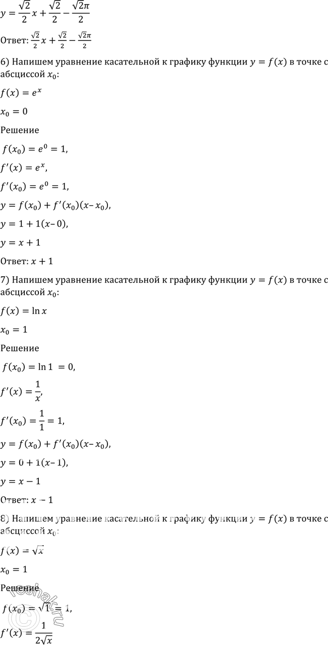
5) f(x)=sinx,x0=пи/4;
6) f(x)=ex,x0=0;
7) f(x)=lnx,x0=1;
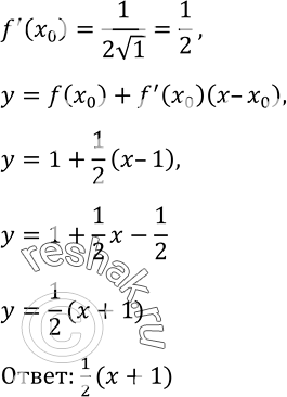
8) f(x)= корень x,x0=1.
*размещая тексты в комментариях ниже, вы автоматически соглашаетесь с пользовательским соглашением