Упр.95 ГДЗ Алимов 10-11 класс (Алгебра)
Решение #1
Решение #2

Рассмотрим вариант решения задания из учебника Алимов, Колягин, Ткачёва 10 класс, Просвещение:
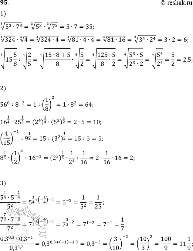
95. Вычислить:
1) корень 3 степени 5^3*7^3, корень 4 степени 324 * корень 4 степени 4, корень 4 степени 15*5/8 :корень 4 степени 2/5;
2) 56^0: 8^-2, 16^1/4 *25^1/2, (1/15)^-1 : 9^1/2, 8^1/(1/2)4: 16^-1;
*размещая тексты в комментариях ниже, вы автоматически соглашаетесь с пользовательским соглашением