Упр.16 ГДЗ Макарычев Миндюк 8 класс (Алгебра)
Решение #1
Решение #2
Решение #3

Рассмотрим вариант решения задания из учебника Макарычев, Миндюк, Нешков 8 класс, Просвещение:
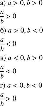
16. Определите знак дроби a/b, если известно, что:
а) а > 0 и b > 0;
б) а > 0 и b < 0;
в) а < О и b > 0;
г) а < 0 и b < 0.
*размещая тексты в комментариях ниже, вы автоматически соглашаетесь с пользовательским соглашением