Упр.206 ГДЗ Макарычев Миндюк 8 класс (Алгебра)
Решение #1
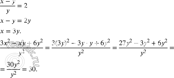
Решение #2
Решение #3

Рассмотрим вариант решения задания из учебника Макарычев, Миндюк, Нешков 8 класс, Просвещение:
206. Найдите значение дроби (3x2-xy+6y2)/y2, если (x-y)/y=2.
*размещая тексты в комментариях ниже, вы автоматически соглашаетесь с пользовательским соглашением