Упр.408 ГДЗ Макарычев Миндюк 8 класс (Алгебра)
Решение #1
Решение #2

Рассмотрим вариант решения задания из учебника Макарычев, Миндюк, Нешков 8 класс, Просвещение:
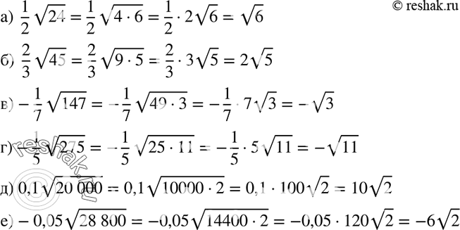
408. Вынесите множитель за знак корня и упростите полученное выражение:
а) 1/2 корень 24;
б) 2/3 корень 45;
в) -1/7 корень 147;
г) -1/5 корень 275;
д) 0,1 корень 20 000;
е) -0,05 корень 28 800.
*размещая тексты в комментариях ниже, вы автоматически соглашаетесь с пользовательским соглашением