Упр.433 ГДЗ Макарычев Миндюк 8 класс (Алгебра)

Решение #1

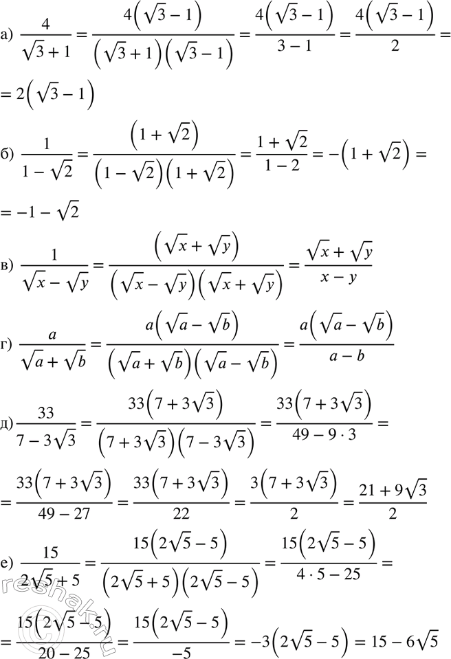
Изображение Упр.433 ГДЗ Макарычев Миндюк 8 класс

Решение #2

Изображение Упр.433 ГДЗ Макарычев Миндюк 8 класс
Загрузка...

Рассмотрим вариант решения задания из учебника Макарычев, Миндюк, Нешков 8 класс, Просвещение:
433. Освободитесь от иррациональности в знаменателе дроби:
*Цитирирование задания со ссылкой на учебник производится исключительно в учебных целях для лучшего понимания разбора решения задания.
*размещая тексты в комментариях ниже, вы автоматически соглашаетесь с пользовательским соглашением