Упр.550 ГДЗ Макарычев Миндюк 8 класс (Алгебра)
Решение #1
Решение #2
Решение #3

Рассмотрим вариант решения задания из учебника Макарычев, Миндюк, Нешков 8 класс, Просвещение:
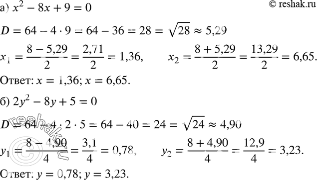
550. Найдите корни уравнения и укажите их приближённые значения в виде десятичных дробей с точностью до 0,01 (воспользуйтесь калькулятором):
а) х2 - 8х + 9 = 0;
б) 2у2 - 8у + 5= 0.
*размещая тексты в комментариях ниже, вы автоматически соглашаетесь с пользовательским соглашением