Упр.610 ГДЗ Макарычев Миндюк 8 класс (Алгебра)
Решение #1
Решение #2

Рассмотрим вариант решения задания из учебника Макарычев, Миндюк, Нешков 8 класс, Просвещение:
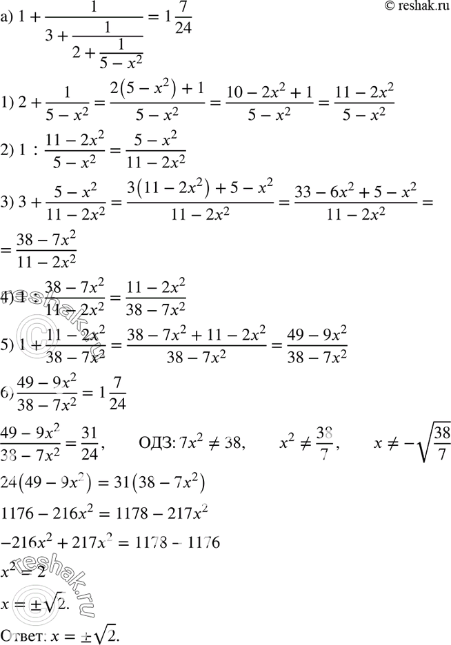
610. (Для работы в парах.) Решите уравнение:
1) Обсудите, какие преобразования и в какой последовательности надо выполнить, чтобы найти корни уравнения.
2) Распределите, кто выполняет задание а), а кто — задание б), и выполните их.
3) Проверьте друг у друга, правильно ли решено уравнение.
*размещая тексты в комментариях ниже, вы автоматически соглашаетесь с пользовательским соглашением