Упр.729 ГДЗ Макарычев Миндюк 8 класс (Алгебра)
Решение #1
Решение #2

Рассмотрим вариант решения задания из учебника Макарычев, Миндюк, Нешков 8 класс, Просвещение:
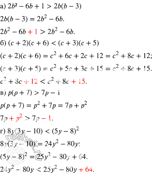
729. Докажите неравенство:
а) 2b2-6b + 1>2b(b-3);
б) (с + 2)(с + 6) < (с + 3)(с + 5);
в) р(р+ 7) > 7р- 1;
г) 8у (3у - 10) < (5у - 8)2.
*размещая тексты в комментариях ниже, вы автоматически соглашаетесь с пользовательским соглашением