Упр.798 ГДЗ Макарычев Миндюк 8 класс (Алгебра)
Решение #1
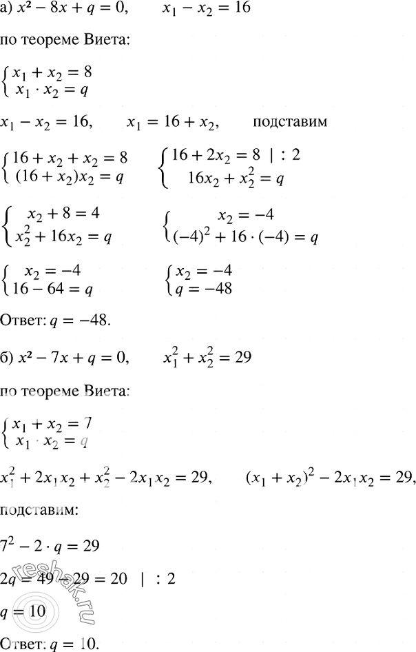
Решение #2

Рассмотрим вариант решения задания из учебника Макарычев, Миндюк, Нешков 8 класс, Просвещение:
798. а) Разность корней уравнения х2 - 8х + q = 0 равна 16. Найдите q.
б) Сумма квадратов корней уравнения х2 - 7х + q = 0 равна 29. Найдите q.
*размещая тексты в комментариях ниже, вы автоматически соглашаетесь с пользовательским соглашением