Упр.993 ГДЗ Макарычев Миндюк 8 класс (Алгебра)
Решение #1
Решение #2

Рассмотрим вариант решения задания из учебника Макарычев, Миндюк, Нешков 8 класс, Просвещение:
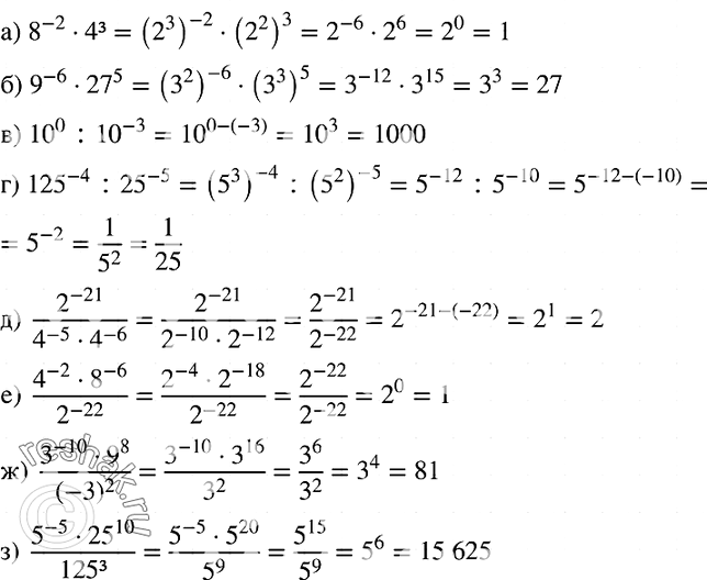
993. Вычислите:
а)8^-2 * 4^3;
б) 9^-6 * 27^5;
в) 10^0 : 10^-3;
г) 125^-4 : 25^-5;
д)
е)
ж)
з)
*размещая тексты в комментариях ниже, вы автоматически соглашаетесь с пользовательским соглашением