Упр.1055 ГДЗ Макарычев Миндюк 9 класс (Алгебра)
Решение #1
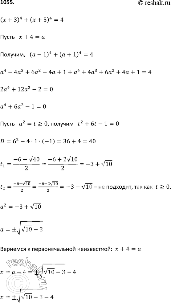
Решение #2

Рассмотрим вариант решения задания из учебника Макарычев, Миндюк, Нешков 9 класс, Просвещение:
1055.Решите уравнение (х + З)4 + (х + 5)4 = 4.
*размещая тексты в комментариях ниже, вы автоматически соглашаетесь с пользовательским соглашением