Упр.159 ГДЗ Макарычев Миндюк 9 класс (Алгебра)
Решение #1
Решение #2
Решение #3

Рассмотрим вариант решения задания из учебника Макарычев, Миндюк, Нешков 9 класс, Просвещение:
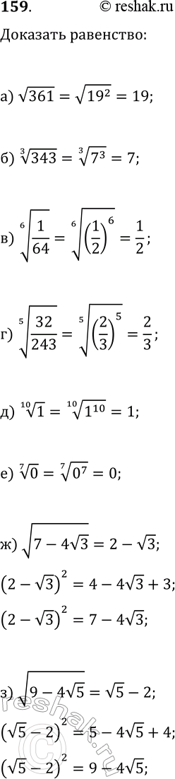
159. Докажите, что верно равенство
а) корень 361=19;
б) корень 3 степени 343=7;
в) корень 6 степени 1/64=1/2;
г) корень 5 степени 32/243 =2/3;
д) корень 10 степени 1=1;
е) корень 7 степени 0=0;
ж) корень (7-4 корень 3)) = 3 - корень 3;
з) корень (9-4 корень 5) = (корень 5) - 2.
*размещая тексты в комментариях ниже, вы автоматически соглашаетесь с пользовательским соглашением