Упр.17 ГДЗ Макарычев Миндюк 9 класс (Алгебра)
Решение #1
Решение #2
Решение #3

Рассмотрим вариант решения задания из учебника Макарычев, Миндюк, Нешков 9 класс, Просвещение:
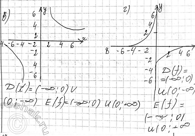
17 Постройте график функции, заданной формулой:
а) f(x) = 1,5 - 3х;
б) f{x) = 4,5x;
в) f(x) = 10/x;
г) f(x) = -1/x
Укажите область определения и область значений функции.
*размещая тексты в комментариях ниже, вы автоматически соглашаетесь с пользовательским соглашением