Упр.220 ГДЗ Макарычев Миндюк 9 класс (Алгебра)
Решение #1
Решение #2

Рассмотрим вариант решения задания из учебника Макарычев, Миндюк, Нешков 9 класс, Просвещение:
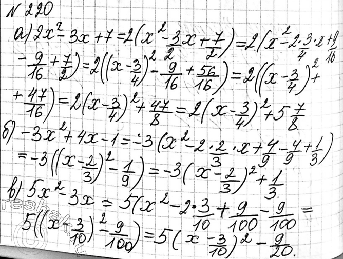
220. Выделите квадрат двучлена из квадратного трёхчлена:
а) 2x2 - 3х + 7;
б) -3x2 + 4x - 1;
в) 5x2 - 3x;
г) -4x2 + 8х.
*размещая тексты в комментариях ниже, вы автоматически соглашаетесь с пользовательским соглашением