Упр.284 ГДЗ Макарычев Миндюк 9 класс (Алгебра)
Решение #1
Решение #2

Рассмотрим вариант решения задания из учебника Макарычев, Миндюк, Нешков 9 класс, Просвещение:
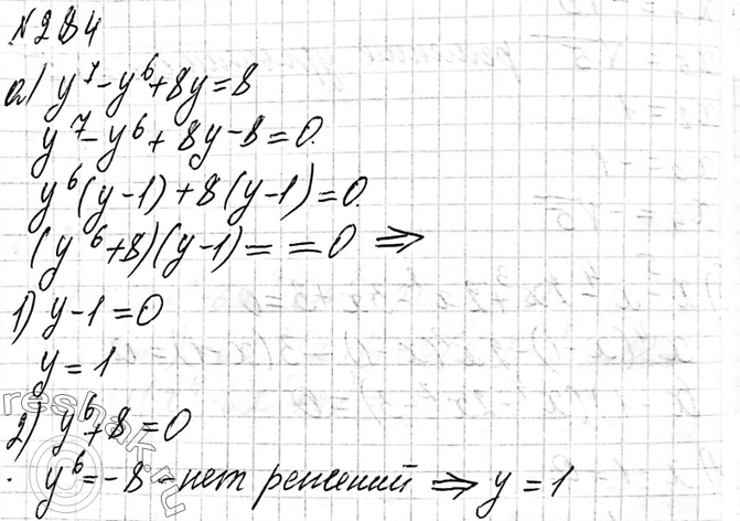
284 Найдите корни уравнения:
а) y7 - y6 + 8y = 8;
б) u7 - u6 = 64u - 64.
*размещая тексты в комментариях ниже, вы автоматически соглашаетесь с пользовательским соглашением