Упр.376 ГДЗ Макарычев Миндюк 9 класс (Алгебра)
Решение #1
Решение #2

Рассмотрим вариант решения задания из учебника Макарычев, Миндюк, Нешков 9 класс, Просвещение:
376. Решите неравенство:
а) х2 - 5х - 50 < 0;
б) -m2 - 8m + 9 >= 0;
в) 3у2 + 4у - 4 > 0;
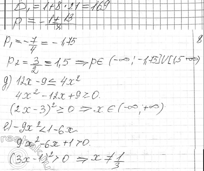
г) 8р2 + 2р >= 21;
д) 12x — 9 <= 4x2;
е) -9x2 < 1 — 6x.
*размещая тексты в комментариях ниже, вы автоматически соглашаетесь с пользовательским соглашением