Упр.439 ГДЗ Макарычев Миндюк 9 класс (Алгебра)
Решение #1
Решение #2

Рассмотрим вариант решения задания из учебника Макарычев, Миндюк, Нешков 9 класс, Просвещение:
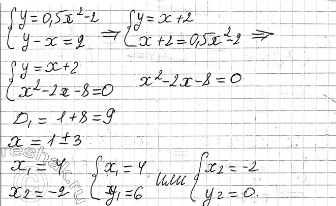
439. Решите систему уравнений
система
у = 0,5x2 - 2,
у - х = 2
сначала графическим способом, а затем аналитическим.
*размещая тексты в комментариях ниже, вы автоматически соглашаетесь с пользовательским соглашением