Упр.447 ГДЗ Макарычев Миндюк 9 класс (Алгебра)
Решение #1
Решение #2

Рассмотрим вариант решения задания из учебника Макарычев, Миндюк, Нешков 9 класс, Просвещение:
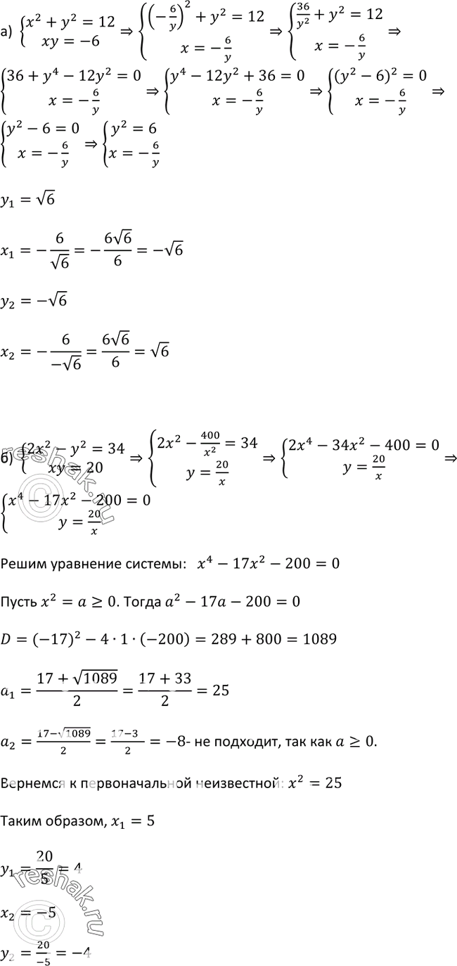
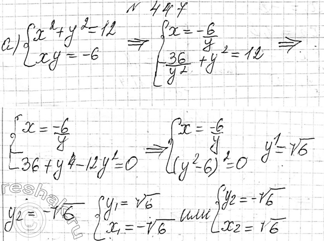
447. Решите способом подстановки систему уравнений:
а) система
x2+y2=12,
xy=-6;
б) система
2x2-y2=34,
xy=20.
*размещая тексты в комментариях ниже, вы автоматически соглашаетесь с пользовательским соглашением