Упр.463 ГДЗ Макарычев Миндюк 9 класс (Алгебра)
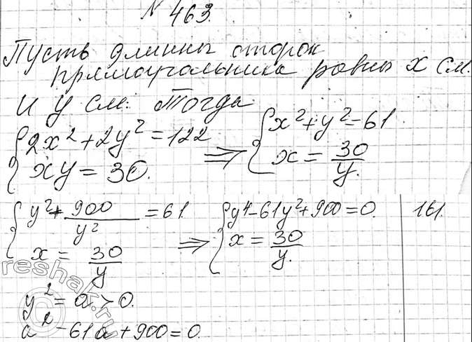
Решение #1
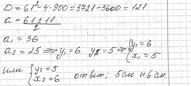
Решение #2

Рассмотрим вариант решения задания из учебника Макарычев, Миндюк, Нешков 9 класс, Просвещение:
463. На каждой из сторон прямоугольника построен квадрат. Сумма площадей квадратов равна 122 см2. Найдите стороны прямоугольника, если известно, что его площадь равна 30 см2.
*размещая тексты в комментариях ниже, вы автоматически соглашаетесь с пользовательским соглашением