Упр.512 ГДЗ Макарычев Миндюк 9 класс (Алгебра)
Решение #1
Решение #2

Рассмотрим вариант решения задания из учебника Макарычев, Миндюк, Нешков 9 класс, Просвещение:
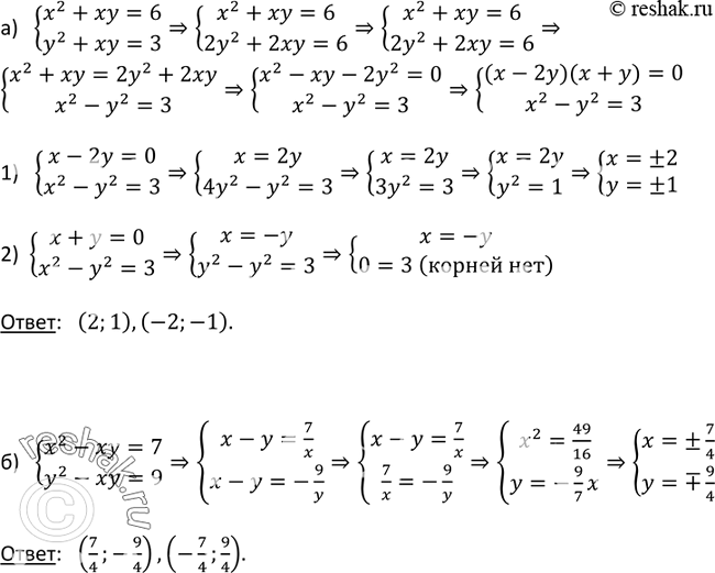
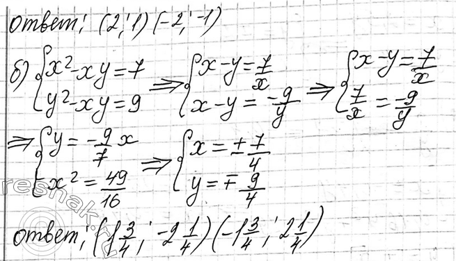
512. Решите систему уравнений:
а) система
x2+xy=6,
y2+xy=3;
б) система
x2-xy=7,
y2-xy=9.
*размещая тексты в комментариях ниже, вы автоматически соглашаетесь с пользовательским соглашением