Упр.579 ГДЗ Макарычев Миндюк 9 класс (Алгебра)
Решение #1
Решение #2

Рассмотрим вариант решения задания из учебника Макарычев, Миндюк, Нешков 9 класс, Просвещение:
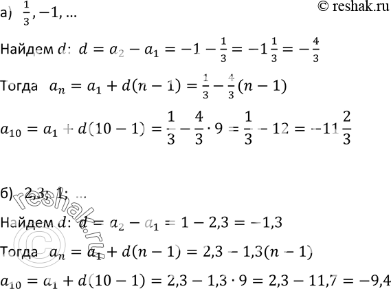
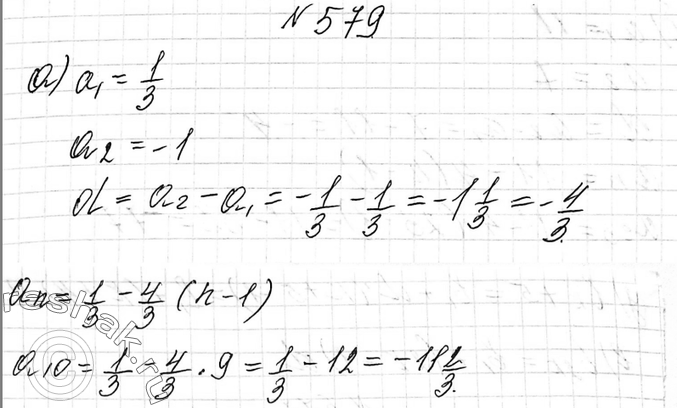
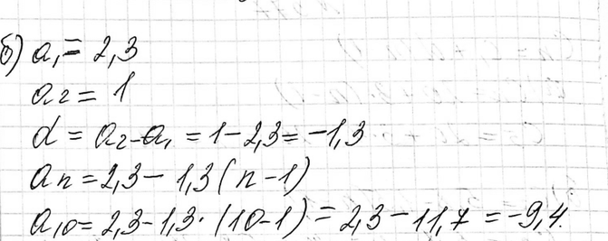
579. Найдите десятый и n-й члены арифметической прогрессии:
а) 1/3; 1; ... ; б) 2,3; 1; ... .
*размещая тексты в комментариях ниже, вы автоматически соглашаетесь с пользовательским соглашением