Упр.611 ГДЗ Макарычев Миндюк 9 класс (Алгебра)
Решение #1
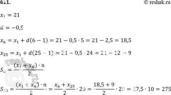
Решение #2

Рассмотрим вариант решения задания из учебника Макарычев, Миндюк, Нешков 9 класс, Просвещение:
611. Найдите сумму членов арифметической прогрессии с шестого по двадцать пятый включительно, если первый член равен 21 и разность равна -0,5.
*размещая тексты в комментариях ниже, вы автоматически соглашаетесь с пользовательским соглашением