Упр.630 ГДЗ Макарычев Миндюк 9 класс (Алгебра)
Решение #1
Решение #2

Рассмотрим вариант решения задания из учебника Макарычев, Миндюк, Нешков 9 класс, Просвещение:
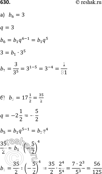
630. Найдите первый член геометрической прогрессии (bn), если:
а) b6=3, q=3;
б) b5=17*1/2, q=-2*1/2.
*размещая тексты в комментариях ниже, вы автоматически соглашаетесь с пользовательским соглашением