Упр.683 ГДЗ Макарычев Миндюк 9 класс (Алгебра)
Решение #1
Решение #2

Рассмотрим вариант решения задания из учебника Макарычев, Миндюк, Нешков 9 класс, Просвещение:
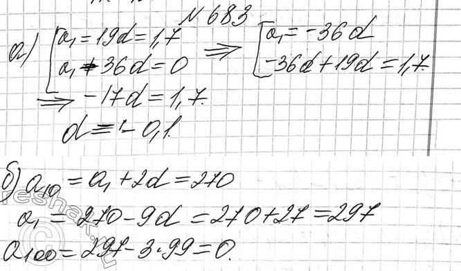
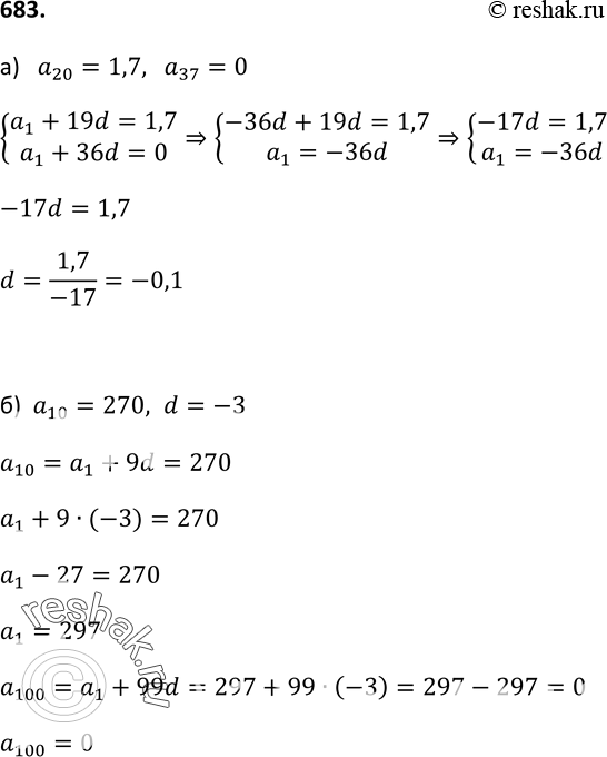
683. Дана арифметическая прогрессия (аn). Найдите:
а) d, если а20 = 1,7 и а37 = 0;
б) а100, если а10 = 270 и d = -3.
*размещая тексты в комментариях ниже, вы автоматически соглашаетесь с пользовательским соглашением