Упр.701 ГДЗ Макарычев Миндюк 9 класс (Алгебра)
Решение #1
Решение #2

Рассмотрим вариант решения задания из учебника Макарычев, Миндюк, Нешков 9 класс, Просвещение:
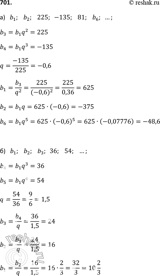
701. Найдите обозначенные буквами члены геометрической прогрессии (bn):
а) b1; b2; 225; -135; 81; b6; ... ;
б) b1; b2; b3; 36; 54; ... .
*размещая тексты в комментариях ниже, вы автоматически соглашаетесь с пользовательским соглашением