Упр.75 ГДЗ Макарычев Миндюк 9 класс (Алгебра)
Решение #1
Решение #2
Решение #3

Рассмотрим вариант решения задания из учебника Макарычев, Миндюк, Нешков 9 класс, Просвещение:
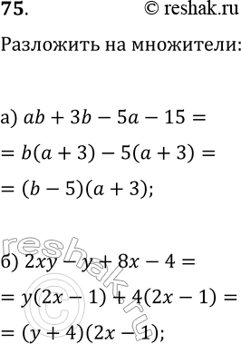
75. Разложите на множители многочлен:
а) аb + 3b - 5а - 15; б) 2ху — у + 8х - 4.
*размещая тексты в комментариях ниже, вы автоматически соглашаетесь с пользовательским соглашением