Упр.854 ГДЗ Макарычев Миндюк 9 класс (Алгебра)
Решение #1
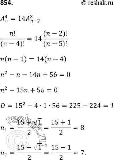
Решение #2

Рассмотрим вариант решения задания из учебника Макарычев, Миндюк, Нешков 9 класс, Просвещение:
854 Число размещений из n элементов по четыре в 14 раз больше числа размещений из n - 2 элементов по три. Найдите n.
*размещая тексты в комментариях ниже, вы автоматически соглашаетесь с пользовательским соглашением