Упр.1.6 ГДЗ Мордкович 9 класс (Алгебра)
Решение #1
Решение #2

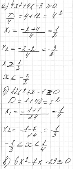
Рассмотрим вариант решения задания из учебника Мордкович 9 класс, Мнемозина:
1.6.а)4х2+4х-3>=0;
б)12х2+х-1<0;
в)6х2-7х-20<=0;
г)15х2-29х-2>0.
*размещая тексты в комментариях ниже, вы автоматически соглашаетесь с пользовательским соглашением