Упр.10.23 ГДЗ Мордкович 9 класс (Алгебра)
Решение #1
Решение #2

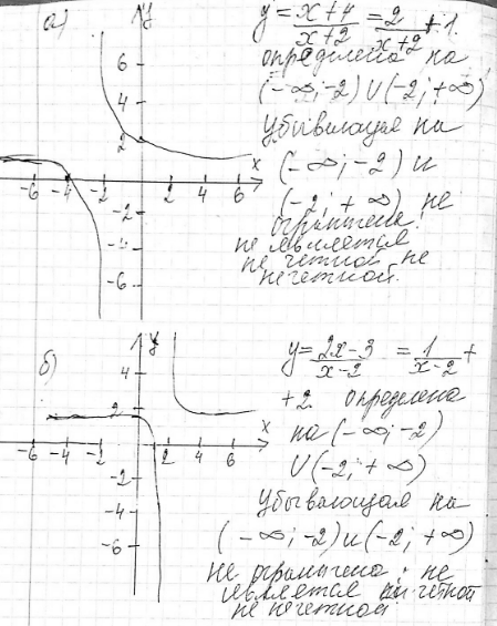
Рассмотрим вариант решения задания из учебника Мордкович 9 класс, Мнемозина:
10.23. Представьте данную функцию в виде у = f(x + l) + m, опишите ее свойства и постройте график:
*размещая тексты в комментариях ниже, вы автоматически соглашаетесь с пользовательским соглашением