Упр.17.18 ГДЗ Мордкович 9 класс (Алгебра)
Решение #1
Решение #2

Рассмотрим вариант решения задания из учебника Мордкович 9 класс, Мнемозина:
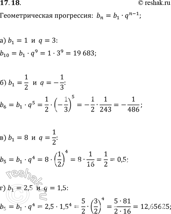
17.18. Дана конечная геометрическая прогрессия (bn). Найдите bn, если известно, что:
а) b1=1, q=3,n=10;
б) b1=1/2, q=-1/3,n=6;
в) b1=8, q=1/2,n=5;
г) b1=2,5, q=1,5,n=5.
*размещая тексты в комментариях ниже, вы автоматически соглашаетесь с пользовательским соглашением