Упр.2.26 ГДЗ Мордкович 9 класс (Алгебра)
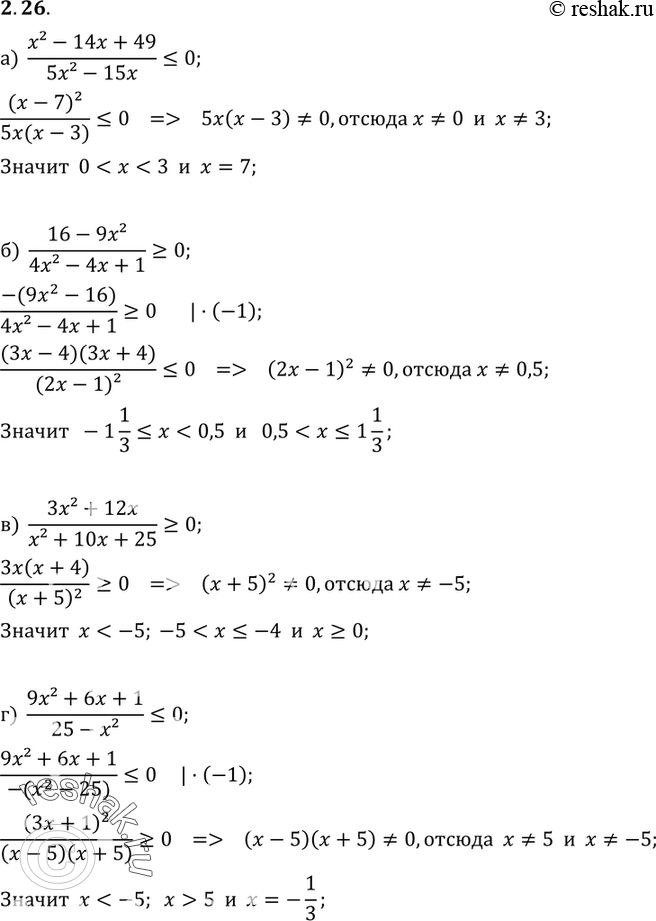
Решение #1
Решение #2

Рассмотрим вариант решения задания из учебника Мордкович 9 класс, Мнемозина:
2.26
*размещая тексты в комментариях ниже, вы автоматически соглашаетесь с пользовательским соглашением