Упр.8.20 ГДЗ Мордкович 9 класс (Алгебра)
Решение #1
Решение #2

Рассмотрим вариант решения задания из учебника Мордкович 9 класс, Мнемозина:
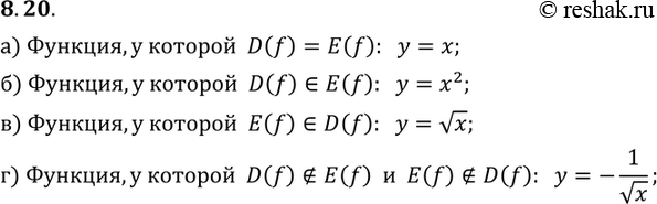
8.20. Приведите пример функции у = f(x), у которой:
а) D(f) = E(f);
б) D(f) включено в E(f);
в) E(f) включено в D(f);
г) D (f) не включено в E (f) и E(f) не включено в D(f).
*размещая тексты в комментариях ниже, вы автоматически соглашаетесь с пользовательским соглашением