Упр.16.15 ГДЗ Мордковича 10 класс профильный уровень (Алгебра)
Решение #1
Решение #2(записки учителя)
Решение #3(записки школьника)

Рассмотрим вариант решения задания из учебника Мордкович, Семенов 10 класс, Мнемозина:
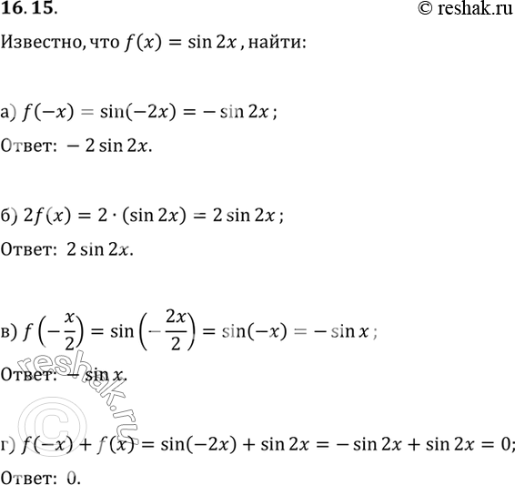
Известно, что f(x) = sin 2x. Найдите:
а) f(-x); в) f(-x/2
б) 2f(x); г) f(-x) + f(x).
*размещая тексты в комментариях ниже, вы автоматически соглашаетесь с пользовательским соглашением