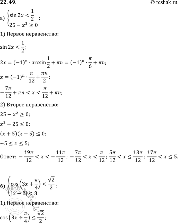
Упр.22.49 ГДЗ Мордковича 10 класс профильный уровень (Алгебра)
Решение #1
Решение #2(записки учителя)
Решение #3(записки школьника)

Рассмотрим вариант решения задания из учебника Мордкович, Семенов 10 класс, Мнемозина:
Решите неравенство:
a) 6 cos2 t + sin t > 4;
б) 6 cos2 t + sin t <= 4.
*размещая тексты в комментариях ниже, вы автоматически соглашаетесь с пользовательским соглашением