Упр.34.30 ГДЗ Мордковича 10 класс профильный уровень (Алгебра)
Решение #1
Решение #2(записки учителя)
Решение #3(записки школьника)

Рассмотрим вариант решения задания из учебника Мордкович, Семенов 10 класс, Мнемозина:
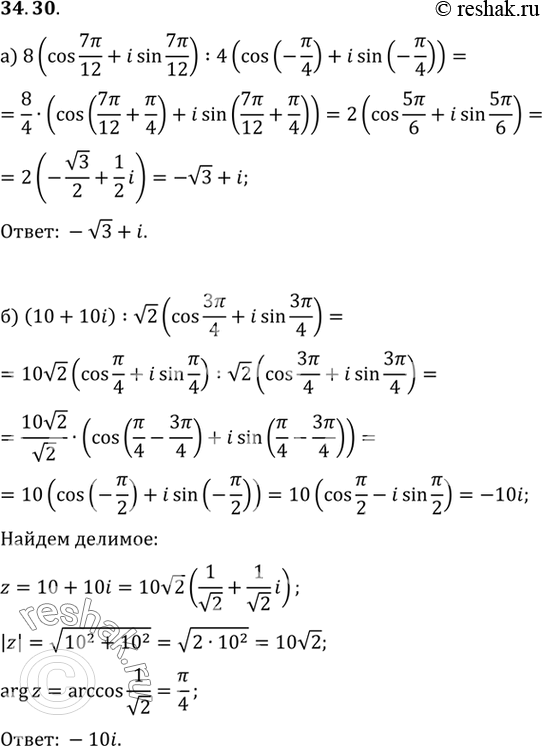
a) 8(cos 7пи/12 + i sin 7пи/12) / 4(cos (-пи/4) + i sin (-пи/4));
б) (10 + 10i)(корень2(cos 3пи/4 + i sin 3пи/4));
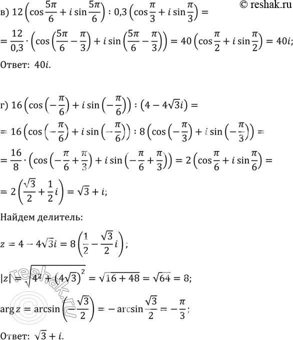
в) 12(cos (5пи/6) + i sin (5пи/6)) / 0,3(cos пи/3 + i sin пи/3);
г) 16(cos (-пи/6) + i sin (-пи/6)) / (4 - 4корень3 i).
*размещая тексты в комментариях ниже, вы автоматически соглашаетесь с пользовательским соглашением