Упр.34.40 ГДЗ Мордковича 10 класс профильный уровень (Алгебра)
Решение #1
Решение #2(записки учителя)
Решение #3(записки школьника)
Решение #4

Рассмотрим вариант решения задания из учебника Мордкович, Семенов 10 класс, Мнемозина:
Для числа z = cos (0,11пи) + i sin (0,11пи) укажите наименьшее натуральное число n, при котором:
a) arg (zn) > пи/4;
б) arg (zn) > пи/2
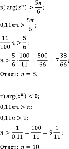
в) arg (zn) > 5пи/6;
r) arg (zn) < 0.
*размещая тексты в комментариях ниже, вы автоматически соглашаетесь с пользовательским соглашением