Упр.34.5 ГДЗ Мордковича 10 класс профильный уровень (Алгебра)
Решение #1
Решение #2(записки учителя)
Решение #3(записки школьника)

Рассмотрим вариант решения задания из учебника Мордкович, Семенов 10 класс, Мнемозина:
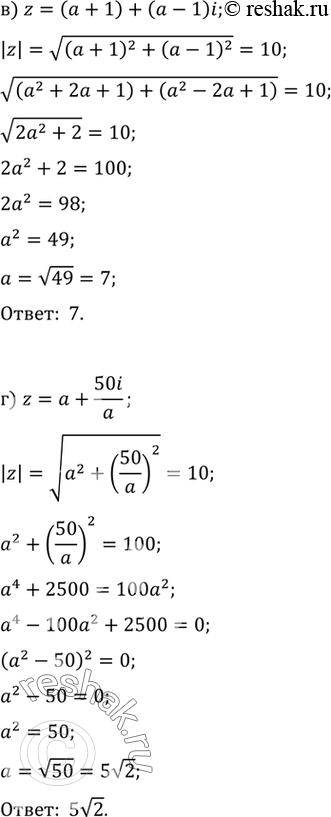
При каком положительном значении параметра а модуль данного числа равен 10:
a) а + 8i;
б) 2а + ai;
в) (а + 1) + (а - 1)i;
г) а + 50i/a.
*размещая тексты в комментариях ниже, вы автоматически соглашаетесь с пользовательским соглашением