Упр.39.38 ГДЗ Мордковича 10 класс профильный уровень (Алгебра)
Решение #1
Решение #2(записки учителя)
Решение #3(записки школьника)

Рассмотрим вариант решения задания из учебника Мордкович, Семенов 10 класс, Мнемозина:
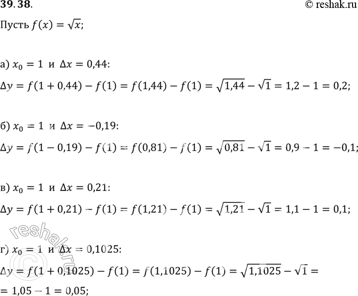
Найдите приращение функции у = 4х при переходе от точки х0 = 1 к точке х1 = х0 + дельта х, если:
a) дельта х = 0,44;
б) дельта х = -0,19;
в) дельта х = 0,21;
г) дельта х = 0,1025.
*размещая тексты в комментариях ниже, вы автоматически соглашаетесь с пользовательским соглашением