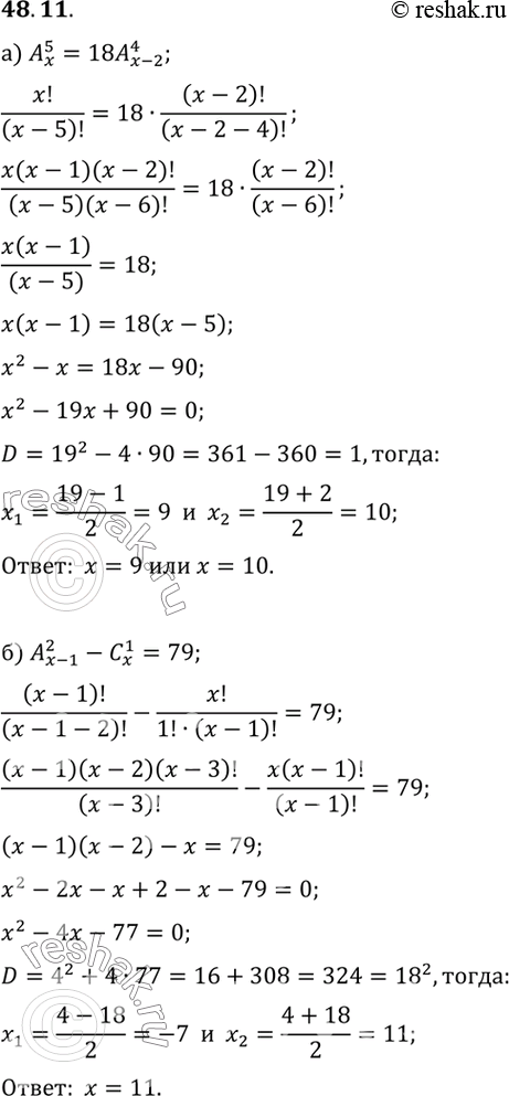
Упр.48.11 ГДЗ Мордковича 10 класс профильный уровень (Алгебра)
Решение #1
Решение #2(записки учителя)
Решение #3(записки школьника)

Рассмотрим вариант решения задания из учебника Мордкович, Семенов 10 класс, Мнемозина:
a) А5(х) = 18А4(х-2)
б) А2(х-1) - С1(х) = 79
*размещая тексты в комментариях ниже, вы автоматически соглашаетесь с пользовательским соглашением