Упр.48.29 ГДЗ Мордковича 10 класс профильный уровень (Алгебра)
Решение #1
Решение #2(записки учителя)
Решение #3(записки школьника)

Рассмотрим вариант решения задания из учебника Мордкович, Семенов 10 класс, Мнемозина:
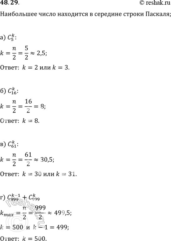
Найдите k, при котором достигается наибольшее значение выражения:
a) Сk(5);
б) Сk(16);
в) Сk(61)
г) С(k-1)(999) + Сk(999).
*размещая тексты в комментариях ниже, вы автоматически соглашаетесь с пользовательским соглашением