Упр.40.41 ГДЗ Мордкович 10-11 класс (Алгебра)
Решение #1
Решение #2

Рассмотрим вариант решения задания из учебника Мордкович, Семенов 11 класс, Мнемозина:
40.41
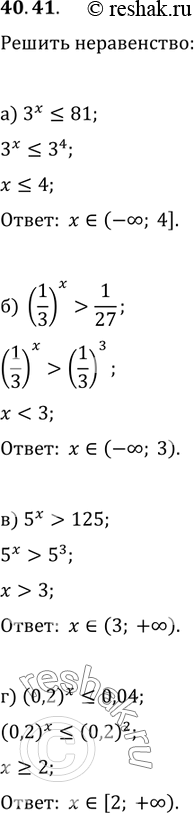
а) 3^x <= 81;
6) (1/3)^x > 1/27;
в) 5^x > 125;
г) (0,2)^х <= 0,04.
*размещая тексты в комментариях ниже, вы автоматически соглашаетесь с пользовательским соглашением