Упр.41.15 ГДЗ Мордкович 10-11 класс (Алгебра)
Решение #1
Решение #2

Рассмотрим вариант решения задания из учебника Мордкович, Семенов 11 класс, Мнемозина:
41.15
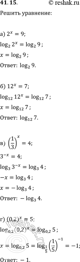
а) 2^x = 9;
б) 12^x = 7;
в) (1/3)^x = 4;
г) (0,2)^x = 5.
*размещая тексты в комментариях ниже, вы автоматически соглашаетесь с пользовательским соглашением