Упр.5.13 ГДЗ Мордкович 10-11 класс (Алгебра)
Решение #1
Решение #2

Рассмотрим вариант решения задания из учебника Мордкович, Семенов 10 класс, Мнемозина:
5.13
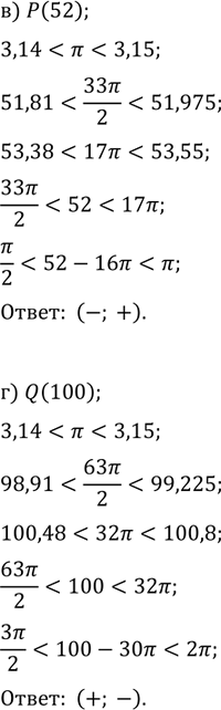
а) М(12); б) N(15); в) Р(52); г) Q(100).
*размещая тексты в комментариях ниже, вы автоматически соглашаетесь с пользовательским соглашением